การเรียนการสอนวิชาคณิตตร์ศาสตร์สายชั้นม.2

การเรียนการสอนคณิตศาสตร์ของสายชั้นม.2 โดย อ.ธนู ปันธิโก

   วันพุธที่ 17 มิถุนายน 2558 เราได้ทำการเก็บภาพบรรยากาศ อ.ธนูทำการสอน สายชั้นม.2ห้อง1 เรื่อง อัตราส่วน ร้อยละและเลขยกกำลัง ซึ่งนักเรียน สายชั้ม.2/1 ก็ได้ให้ความร่วมมือ เป็นอย่างดี โดยการตั้งใจฟังและจดตาม ในสิ่งที่ครูสอน รู้จักถาม-ตอบกับครูเมื่อสงสัย และมีความกล้าแสดงออก กล้าคิด กล้าถามและกล้าตอบ  โดย อ.ธนู ได้กล่าวไว้ว่า "คณิตศาสตร์ จะเก่งได้ต้องคิดด้วยตัวเอง ไม่มีใครเก่งมาตั้งแต่เกิด ถ้าเราฝึกทำ ฝึกคิด หมั่นทบทวนบ่อยๆ คณิตศาตร์ก็ง่ายนิดเดียว" 

อาจารย์ธนู ปันธิโก


อ.ธนูกำลังอธิบายเรื่องเลขยกกำลัง


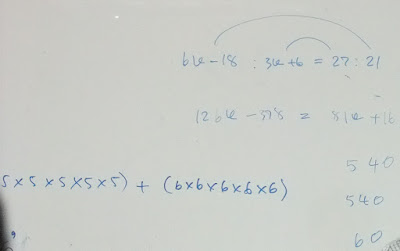
อ.ธนูได้เขียนอธิบายวิธีคิดให้อย่างละเอียด


นักเรียนทุกคนตั้งใจตักตวงความรู้จาก อ.ธนูมาให้มากที่สุด


ตั้งใจ ฝึกคิด ฝึกทำ ก็จะเก่งคณิตศาสตร์ได้


ประชุมครูผู้ดูแลเว็บบล็อกกลุ่มสาระการเรียนรู้

              กลุ่มสาระการเรียนรู้การงานอาชีพและเทคโนโลยี โรงเรียนดรุณาราชบุรี ได้จัดประชุมครูผู้สอนแต่ละกลุ่มสะระการเรียนรู้ ที่ดูแลเว็บบล็อก เมื่อวันที่ 29 พฤษภาคม 2558 ณ ห้องประชุมคาเร็ตโต อาคาร 1 นายวีระพจน์ รัตนรัตน์ หัวหน้ากลุ่มสาระการเรียนรู้การงานอาชีพและเทคโนโลยีได้พูดถึง    การใช้ไอซีทีมาประยุกต์ใช้ในการเรียนการสอน โรงเรียนดรุณาราชบุรีได้จัดให้มีการจัดสร้างเว็บบล็อกแต่ละกลุ่มสาระการเรียนรู้เพื่อเผยแพร่กิจกรรม การเรียนการสอนรวมถึงผลงานของนักเรียนและครูในแต่ละกลุ่มสาระการเรียนรู้ โดยเป็นการทำงานร่วมกันระหว่างครูและนักเรียน